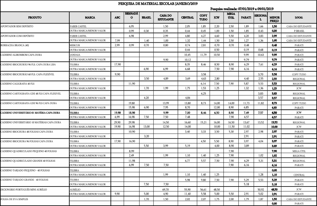
Foram pesquisados 35 itens em 10 estabelecimentos, entre os dias 07 e 10 de janeiro.

Pesquisar preços de produtos deve ser uma prática adotada pelos consumidores. Levantamento feito pelo PROCON Araxá apresenta variação de 523% no mesmo produto da mesma marca, em estabelecimentos diferentes. Foram pesquisados 35 itens em 10 estabelecimentos, entre os dias 07 e 10 de janeiro.
A pesquisa divulgada nesta sexta-feira, 11, apresenta o valor mais caro (marcas líderes de mercado) e o mais barato de cada item. A maior variação de preços em produtos de marcas diferentes foi registrada no apontador com depósito, que em um estabelecimento custa R$ 1,00 e em outro R$ 7,99 (699%). Já em produtos da mesma marca, a maior variação foi da borracha branca, o preço vai de R$ 0,48 a R$ 2,99 (523%).
De acordo com a secretária executiva do PROCON, Belma Nolli, a melhor forma de economizar é pesquisar preços, negociando descontos e prazos para pagamento. “É importante também observar se na lista de material escolar são pedidos itens de uso coletivo como papel higiênico, material de limpeza, material de escritório e entre outros. Os custos desses materiais já devem estar embutidos nas mensalidades escolares”.
A lista completa de produtos e seus valores, pode ser encontrada na sede do PROCON, que fica na Rua Perdizes, 280, no Centro e no site do órgão (www.procon.araxa.mg.gov.br).
